
Ближе к делу
Команда редакции
Зачем оценивать стоимость бизнеса
Оценка стоимости бизнеса бывает обязательной или добровольной.
- Обязательная. Проводят, как правило, уполномоченные органы в случаях, описанных в законе (ФЗ-135 «Об оценочной деятельности в РФ»). Например, при банкротстве оценку проводит арбитражный управляющий. Так как принудительная оценка проводится специалистами, мы в статье расскажем только о добровольной.
- Добровольная. Такую оценку чаще всего проводят сами собственники или покупатели, инвесторы и кредиторы перед сделками.
Как рассчитать стоимость и в каких случаях это нужно
Есть несколько методов оценки стоимости бизнеса. Обычно используют три основных: затратный, доходный и сравнительный. Эти способы подходят для любого масштаба — от небольшого ИП до крупной корпорации. Иногда для более точной суммы считают всеми тремя способами и выводят среднюю цифру из полученных.
Доходный
В чем суть метода. Доходный метод оценки — это способ определить стоимость компании на основе тех денег, которые она сможет заработать в будущем. Например, 100 000 рублей, полученные через год, — это меньше чем 100 000 рублей в сейчас, потому что за год деньги могут обесцениться. Метод доходного подхода позволяет учесть этот фактор, «переводя» ожидаемые будущие прибыли в их нынешнюю стоимость.
Когда используют такой метод. Обычно так оценивают перед продажей или для инвестирования. Иногда доходный способ применяют и сами собственники, чтобы понимать реальное состояние дел в бизнесе.
Как работает доходный метод. Основная идея — оценить все будущие денежные потоки бизнеса и пересчитать их в текущую стоимость — это называется дисконтированием. Процесс дисконтирования выполняется с помощью специальной процентной ставки, которую часто называют ставкой дисконтирования или ставкой капитала. Проще говоря, эта ставка отражает желаемую доходность на вложенные деньги с учетом риска. Чем более рискованным кажется дело, тем большую доходность потребует инвестор, и тем выше будет эта ставка.
Формула дисконтирования: текущая стоимость = будущая сумма / (1 + ставка)^число лет.
Пример. Инвестор вкладывает деньги в цех по пошиву одежды и рассчитывает получать с него 20% годовых. В этом случае 20% — это ставка доходности на капитал. Она же будет использоваться для дисконтирования. Если ожидается, что цех принесет 120 000 рублей через год при требуемой доходности 20%, то текущая ценность этой суммы примерно 100 000 рублей, потому что 100 000 рублей, вложенные под 20% годовых, через год превратятся в 120 000 рублей.
Денежный поток — реальная сумма денег, которую бизнес генерирует за какой-то период после всех расходов. Это похоже на понятие прибыли, только берется именно чистый поток денег, который можно вынуть из оборота без ущерба для работы. Грубо говоря, денежный поток — это поток средств, поступающих в компанию и остающихся в ее распоряжении. В расчетах оценки обычно используют либо чистую прибыль, либо свободный денежный поток предприятия как основу.
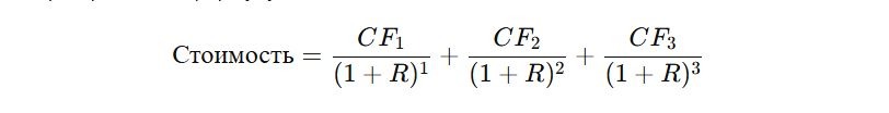
После того как спрогнозированы денежные потоки на будущее, их приводят к текущей стоимости через дисконтирование. Суммируя дисконтированные значения всех будущих периодов, получают оценочную стоимость на сегодняшний день. В общем виде это выражается так:

где CF₁...CFₙ – прогнозируемые денежные потоки по годам, а R — ставка дисконтирования (в долях единицы).
Объясним на примере. Предположим, у вас небольшая парикмахерская, и вы хотите понять, сколько она стоит, если оценивать по доходному методу — то есть через будущие прибыли.
Вы уверены, что бизнес уже стабилизировался и следующие три года будет приносить примерно такой чистый денежный поток (чистая прибыль после всех расходов):
1-й год — 300 000 рублей
2-й год — 400 000 рублей
3-й год — 500 000 рублей
Инвесторы или вы сами хотите доходность 20% в год, то есть ставка дисконтирования R = 0,2.
Теперь применим формулу:
Подставим в нее данные из нашего примера:
Считаем:
1-й год: 300 000 / 1,2 = 250 000 рублей
2-й год: 400 000 / 1,44 = 277 800 рублей
3-й год: 500 000 / 1,728 = 289 400 рублей
Теперь складываем все:
250 000 + 277 800 + 289 400 = примерно 817 000 рублей.
Значит, парикмахерская, которая будет приносить по 300–500 000 рублей прибыли в течение трех лет, сегодня стоит около 817 000 рублей, если инвестор хочет доходность 20% в год.
Внутри доходного метода есть еще подходы — дисконтированных денежных потоков (DCF) и прямой подход капитализации. Они достаточно сложные в расчетах, больше подходят крупным компаниям, в которые инвесторы вкладывают многомиллионные суммы. Поэтому в нашей статье мы их не рассматриваем, но подробнее о них можно почитать, например, в учебных пособиях для студентов экономических направлений.
Затратный
В чем суть подхода. Затратный подход — это способ оценить бизнес, исходя из стоимости его имущества за вычетом всех долгов. Проще говоря, нужно сложить цену всего, что есть у компании, и вычесть суммы, которые она должна.
Идея метода проста: никто из разумных покупателей не заплатит за готовый бизнес больше, чем стоит создать аналогичный с нуля. Полученная разница между активами и обязательствами фактически показывает чистую стоимость для владельца. Этот метод еще называют методом чистых активов, потому что в основе именно расчет чистых активов компании.
Когда используют. Затратный метод подходит, когда компания обладает значительным материальным имуществом, но не показывает большой рост прибыли. Например, стабильное производство или торговое предприятие с большим парком оборудования и запасами товаров можно объективно оценить по его активам — так вы получите минимально гарантированную стоимость.
Еще так считают, когда нужно быстро продать или ликвидировать компанию, когда важно понять нижнюю границу цены. Иногда оценка по активам нужна для переоценки, например, для страховки или отчетности при реорганизации.
Как работает метод. Чтобы применить затратный метод, нужно определить текущую стоимость всех активов фирмы и размер ее долгов.
При расчете используются данные бухгалтерского баланса, но с важной поправкой: берутся реальные рыночные цены на имущество. Иначе говоря, каждый актив переоценивается по нынешней стоимости. Часто применяют понятие восстановительной стоимости — это сколько бы стоил такой же, но новый объект сейчас. Из этой величины вычитают износ, то есть потерю ценности из-за использования и времени.
О том, как составить бухбаланс и все о его структуре, рассказали в статье «Бухгалтерский баланс: что это такое и как его составить».
Например, если новая печь для пекарни стоит 300 000 рублей, а печь, которой несколько лет, потеряла примерно половину ресурса, то ее текущая цена будет около 150 000 рублей. По такой логике пересчитывают все основные средства бизнеса: оборудование, транспорт, мебель, товары на складе. Затем суммируют эти актуальные цены всех активов и из полученной суммы вычитают обязательства (долги) компании
Формула метода:
Стоимость бизнеса = Совокупная стоимость активов – Совокупная сумма долгов
Учитываются как материальные активы, например, недвижимость, техника, запасы товара, так и нематериальные при их наличии, например, ценность бренда или программного обеспечения. Итог вычисления — это ориентировочная стоимость бизнеса по балансовой модели, то есть сколько в денежном эквиваленте останется собственнику после продажи всех активов и расчетов по долгам.
Пример. У вас небольшая пекарня, и вы хотите узнать ее цену с позиции накопленных в ней средств. Для оценки выпишем основные активы пекарни и прикинем их текущую цену с учетом износа, а потом отнимем долги.
Новая печь стоит 300 000 рублей, но ваша уже не новая, и ее можно продать примерно за 150 000 рублей. Аналогично оцениваем остальное имущество. Получается список:
- печь для выпечки – 150 000 рублей;
- холодильное оборудование – 80 000 рублей;
- витрины и мебель в торговом зале – 50 000 рублей;
- запасы ингредиентов (мука, начинки и пр.) – 20 000 рублей.
Итого активов на 300 000 рублей. Предположим, у пекарни есть невыплаченный кредит в 50 000 рублей.
Тогда по затратному подходу бизнес стоит: 300 000 – 50 000 = 250 000 рублей. Именно такую сумму составляют чистые активы пекарни на текущий момент.
Метод ликвидационной стоимости (оценка при закрытии бизнеса). Затратный подход имеет вариант для случаев, когда предприятие собираются ликвидировать. В этом сценарии бизнес рассматривается как набор активов, которые нужно продать как можно быстрее, а вырученные деньги направить на покрытие долгов.
Расчет почти тот же (активы минус обязательства), но с двумя поправками:
1. Активы учитываются с уценкой — вводится дисконт на срочную продажу. Проще говоря, раз нужно продать быстро, владелец дает скидку, и имущество уходит дешевле обычной цены.
2. Вычитаются дополнительные расходы на ликвидацию: затраты на проведение распродажи, рекламу, демонтаж оборудования, выплаты сотрудникам и так далее.
В итоге ликвидационная стоимость получается ниже обычной рыночной — скидка при форсированной продаже может достигать десятков процентов (иногда до 50% от цены).
Посмотрим на нашем примере пекарни: допустим, вы хотите срочно закрыть дело и распродаете все имущество с условной скидкой 20%, потратив при этом 10 000 рублей на объявления и посредников. Перед этим активы оценивались в 300 000 рублей, значит, при скидке вы выручите около 240 000 рублей за все имущество. Вычитаем из этой суммы 10 000 рублей затрат на продажу и 50 000 рублей долгов. Получаем приблизительно 180 000 рублей — это и есть ликвидационная стоимость бизнеса.
Сравнительный
В чем суть метода. Сравнительный метод — это способ определить цену бизнеса, сравнивая его с другими похожими компаниями на рынке. Принцип очень простой: бизнес стоит столько, сколько готовы заплатить за подобный бизнес другие люди.
Если вы когда-нибудь продавали машину или квартиру, вы уже интуитивно пользовались сравнительным подходом. Чтобы определить цену, вы открывали объявления и смотрели, за сколько похожие объекты реально продаются. С бизнесом — то же самое: оценивают, за сколько купили или продают аналогичные компании.
Когда используют. Сравнительный подход особенно полезен, когда:
- рынок активный — есть реальные сделки и объявления по аналогичным компаниям;
- бизнес типовой (кафе, парикмахерская, магазин, фитнес-зал), и есть с чем сравнивать;
- нужно определить рыночную цену продажи (например, если владелец собирается выйти из дела или привлечь инвестора).
Как работает сравнительный метод. Для небольшого бизнеса подойдет способ, основанный на рыночных сделках. Оценщик или сам предприниматель подбирает несколько примеров бизнеса, максимально похожих по виду деятельности, размеру, местоположению и уровню доходов, и смотрит, по каким ценам они продавались.
Далее сравнивают ключевые показатели, например, выручку, прибыль, количество клиентов, число сотрудников. Чтобы уравнять компании по масштабу, используют мультипликаторы — специальные коэффициенты, показывающие соотношение между ценой и каким-то финансовым показателем.
На практике это выглядит так:
- смотрят, за сколько продали аналогичные компании;
- считают отношение цены продажи к прибыли, выручке или активам;
- находят среднее значение коэффициента (мультипликатора);
- умножают этот коэффициент на показатель вашей компании.
В результате получается ориентировочная рыночная стоимость бизнеса.
Формула в общем виде:
Стоимость бизнеса = Финансовый показатель × Рыночный мультипликатор
где финансовый показатель — это, например, чистая прибыль или выручка вашей компании, рыночный мультипликатор — это среднее значение отношения «цена / показатель» по аналогичным компаниям.
Пример. Допустим, вы владеете салоном красоты и хотите примерно понять, сколько он стоит, если ориентироваться на рынок. Вы нашли объявления о продаже трёх похожих салонов в вашем городе. У всех примерно одинаковый размер, район и формат услуг. Их показатели:
Салон | Годовая прибыль | Цена продажи | Мультипликатор (Цена / Прибыль) |
A | 600 000 ₽ | 1 800 000 ₽ | 3,0 |
B | 500 000 ₽ | 1 400 000 ₽ | 2,8 |
C | 700 000 ₽ | 2 100 000 ₽ | 3,0 |
Средний мультипликатор ≈ 2,9.
Теперь посмотрим на ваш салон: прибыль за год — 550 000 рублей.
Подставляем в формулу:
Стоимость бизнеса = 550 000 × 2,9 = 1 595 000 рублей.
Можно округлить: ваш салон стоит примерно 1,6 млн рублей.
Как интерпретировать результат. Сравнительный метод показывает, по какой цене бизнес реально можно продать или купить сейчас, исходя из рынка. Это не теоретическая «справедливая стоимость», как при доходном подходе, и не минимальная база активов, как при затратном. Это рыночная оценка «здесь и сейчас», зависящая от спроса и предложения.
Как избежать ошибок при расчетах
Оценка бизнеса требует точности и объективности. Неправильное использование методики расчета или игнорирование важных данных может привести к искажению. Избегайте распространенных ошибок при оценке:
1. Неверный выбор подхода к оценке. При выборе подхода нужно учитывать специфику компании. Например, нельзя оценивать IT-стартап без ценных активов, сотрудники которого работают удаленно, затратным методом. Для таких компаний подходит доходный метод, который ориентируется на прогнозируемую стоимость.
2. Некорректная оценка активов и обязательств. Нужно правильно определить рыночную цену как материальных, так и нематериальных активов. Ошибкой будет как завышение, так и занижение ценности имущества.
3. Чрезмерно оптимистичные прогнозы будущей прибыли. При использовании доходного подхода, который основан на прогнозировании будущего роста, часто игнорируются возможные риски. Даже устойчивые компании не могут расти бесконечно, им может помешать нестабильная экономическая ситуация, другие внешние факторы.
4. Неполный пакет подтверждающих документов. Чем больше данных при расчете будет на руках, тем выше точность. Каждая сделка, влияющая на стоимость предприятия, должна быть подтверждена документально. Для оценки понадобится бухгалтерская отчетность, договоры аренды, кредитные соглашения, контракты с ключевыми клиентами и поставщиками.
5. Невнимательность к внешним факторам. На стоимость и финансовую стабильность компании влияют не только внутренние процессы, но и внешняя среда. При оценке нужно учитывать экономическую, политическую обстановку, отраслевые тренды. Например, в туристической сфере могут действовать ограничения на поездки в некоторые страны, происходить колебания курса валют.
Главное
- Оценка бизнеса — это процедура расчета его рыночной, инвестиционной или ликвидационной стоимости. Чаще всего ее проводят при сделках купли-продажи, ликвидации компании или привлечении инвесторов.
- Для расчета стоимости предприятий используют три основных подхода: затратный (оценка активов за вычетом обязательств), доходный (оценка будущего дохода), сравнительный (анализ сделок с аналогичными компаниями).
- Выбор метода зависит от целей расчета стоимости бизнеса и его специфики. Можно использовать все три подхода или один-два.



